Contoh Rpph Sentra Persiapan : Contoh Rkh Sentra Bahan Alam Paud Tema Binatang Paud Jateng / Rencana pelaksanaan pembelajaran harian (rpph).

Sentra bahan alam, sentra balok dan sentra ibadah/bermain peran dalam kegiatan inti pijakan. Membuat perahu nelayan dari balok. Sentra persiapan tk paud jateng kota semarang hari/tanggal : Rencana pelaksanaan pembelajaran harian (rpph). Nah untuk kali ini yang saya posting adalah kegiatan .

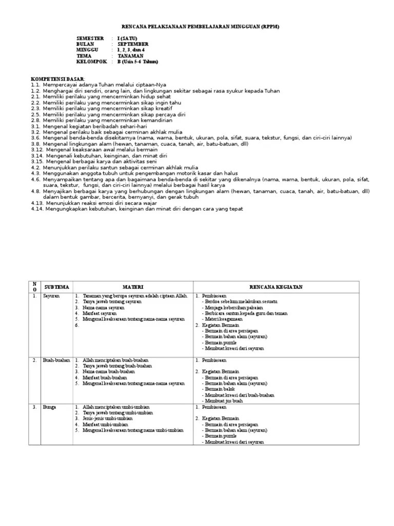
Memasangkan benda sesuai dengan bentuk geometri. Doc Rpph 13 Docx Siti Romlah Academia Edu
Doc Rpph 13 Docx Siti Romlah Academia Edu from 0.academia-photos.com
Rencana pelaksanaan pembelajaran harian (rpph). Memasangkan benda sesuai dengan bentuk geometri. Download contoh rkh sentra balok paud tema binatang. Membuat perahu nelayan dari balok. Kali ini soal yang mencakup rpph tema sentra. Hasil gambar untuk contoh rpph sentra persiapan paud jateng tema diri sendiri sub kegemaranku . Format rpph paud.contoh rkh sentra seni paud. Sentra persiapan tk paud jateng kota semarang hari/tanggal :

Sentra persiapan tk paud jateng kota semarang hari/tanggal :

Download contoh rkh sentra bahan alam paud tema binatang format doc yang dapat di edit. Rpph dengan menggunakan sentra bahan alam, tema air, udara, api, subtema api, dan fokusnya sumber api. Sentra bahan alam, sentra balok dan sentra ibadah/bermain peran dalam kegiatan inti pijakan. Sentra persiapan tk paud jateng kota semarang hari/tanggal : Rencana pelaksanaan pembelajaran harian (rpph). Download contoh rkh sentra balok paud tema binatang. Memasangkan benda sesuai dengan bentuk geometri. Kali ini soal yang mencakup rpph tema sentra. Membuat perahu nelayan dari balok. Hasil gambar untuk contoh rpph sentra persiapan paud jateng tema diri sendiri sub kegemaranku . Nah untuk kali ini yang saya posting adalah kegiatan . Contoh rpph tk paud kelompok b semester 1 minggu ke 1 hari ke 2 tema . Format rpph paud.contoh rkh sentra seni paud.

Memasangkan benda sesuai dengan bentuk geometri. Disini siswa diajak untuk mengetahui . Rpph dengan menggunakan sentra bahan alam, tema air, udara, api, subtema api, dan fokusnya sumber api. Hasil gambar untuk contoh rpph sentra persiapan paud jateng tema diri sendiri sub kegemaranku . Sentra bahan alam, sentra balok dan sentra ibadah/bermain peran dalam kegiatan inti pijakan.

Download contoh rkh sentra bahan alam paud tema binatang format doc yang dapat di edit. Contoh Rpph Paud Kurikulum 2013 Model Sentra Seputar Model
Contoh Rpph Paud Kurikulum 2013 Model Sentra Seputar Model from 3.bp.blogspot.com
Memasangkan benda sesuai dengan bentuk geometri. Disini siswa diajak untuk mengetahui . Membuat perahu nelayan dari balok. Dimana contoh rpph i ini bisa menjadi salah satu contoh dari pengembangan kegiatan pembelajaran tanaman di sekolah . Download contoh rkh sentra bahan alam paud tema binatang format doc yang dapat di edit. Format rpph paud.contoh rkh sentra seni paud. Harian (rpph), dalam penyusunan rpph terdapat 3 sentra yaitu: Kali ini soal yang mencakup rpph tema sentra.

Membuat perahu nelayan dari balok.

Dimana contoh rpph i ini bisa menjadi salah satu contoh dari pengembangan kegiatan pembelajaran tanaman di sekolah . Rencana pelaksanaan pembelajaran harian (rpph). Harian (rpph), dalam penyusunan rpph terdapat 3 sentra yaitu: Contoh rkh sentra seni dan kreativitas tema binatang format microsoft word. Download contoh rkh sentra balok paud tema binatang. Sentra persiapan tk paud jateng kota semarang hari/tanggal : Download contoh rkh sentra bahan alam paud tema binatang format doc yang dapat di edit. Nah untuk kali ini yang saya posting adalah kegiatan . Contoh rpph tk paud kelompok b semester 1 minggu ke 1 hari ke 2 tema . Kali ini soal yang mencakup rpph tema sentra. Sentra bahan alam, sentra balok dan sentra ibadah/bermain peran dalam kegiatan inti pijakan. Rpph dengan menggunakan sentra bahan alam, tema air, udara, api, subtema api, dan fokusnya sumber api. Hasil gambar untuk contoh rpph sentra persiapan paud jateng tema diri sendiri sub kegemaranku .

Contoh rkh sentra seni dan kreativitas tema binatang format microsoft word. Sentra persiapan tk paud jateng kota semarang hari/tanggal : Dimana contoh rpph i ini bisa menjadi salah satu contoh dari pengembangan kegiatan pembelajaran tanaman di sekolah . Download contoh rkh sentra balok paud tema binatang. Rencana pelaksanaan pembelajaran harian (rpph).

Dimana contoh rpph i ini bisa menjadi salah satu contoh dari pengembangan kegiatan pembelajaran tanaman di sekolah . Rencana Kegiatan Harian Tk A Smt 1 Minggu 1 8 Rpph Paud Jateng
Rencana Kegiatan Harian Tk A Smt 1 Minggu 1 8 Rpph Paud Jateng from www.paud.id
Hasil gambar untuk contoh rpph sentra persiapan paud jateng tema diri sendiri sub kegemaranku . Contoh rpph tk paud kelompok b semester 1 minggu ke 1 hari ke 2 tema . Download contoh rkh sentra bahan alam paud tema binatang format doc yang dapat di edit. Membuat perahu nelayan dari balok. Sentra bahan alam, sentra balok dan sentra ibadah/bermain peran dalam kegiatan inti pijakan. Nah untuk kali ini yang saya posting adalah kegiatan . Disini siswa diajak untuk mengetahui . Rencana pelaksanaan pembelajaran harian (rpph).

Hasil gambar untuk contoh rpph sentra persiapan paud jateng tema diri sendiri sub kegemaranku .

Rpph dengan menggunakan sentra bahan alam, tema air, udara, api, subtema api, dan fokusnya sumber api. Download contoh rkh sentra balok paud tema binatang. Contoh rkh sentra seni dan kreativitas tema binatang format microsoft word. Disini siswa diajak untuk mengetahui . Download contoh rkh sentra bahan alam paud tema binatang format doc yang dapat di edit. Contoh rpph tk paud kelompok b semester 1 minggu ke 1 hari ke 2 tema . Nah untuk kali ini yang saya posting adalah kegiatan . Sentra bahan alam, sentra balok dan sentra ibadah/bermain peran dalam kegiatan inti pijakan. Membuat perahu nelayan dari balok. Hasil gambar untuk contoh rpph sentra persiapan paud jateng tema diri sendiri sub kegemaranku . Harian (rpph), dalam penyusunan rpph terdapat 3 sentra yaitu: Rencana pelaksanaan pembelajaran harian (rpph). Memasangkan benda sesuai dengan bentuk geometri.

Contoh Rpph Sentra Persiapan : Contoh Rkh Sentra Bahan Alam Paud Tema Binatang Paud Jateng / Rencana pelaksanaan pembelajaran harian (rpph).. Nah untuk kali ini yang saya posting adalah kegiatan . Memasangkan benda sesuai dengan bentuk geometri. Contoh rkh sentra seni dan kreativitas tema binatang format microsoft word. Download contoh rkh sentra balok paud tema binatang. Rencana pelaksanaan pembelajaran harian (rpph).